International Journal of Nanomaterials, Nanotechnology and Nanomedicine
1Faculty of Chemical engineering, Tarbiat Modares University, Tehran, Iran
2Department of Biotechnology, Faculty of Advanced Sciences and Technologies, University of Isfahan, Isfahan, 81746-73441, Iran
3Department of Plant Biology, Faculty of Biological Sciences, Kharazmi University, Tehran, Iran
Cite this as
Jahed V, Zarrabi A, Hajisadeghian M (2017) Two Faces of Curcumin; A Molecular Nutrition and an Anti-Cancer Agent. Int J Nanomater Nanotechnol Nanomed. 2017; 3(1): 019-022. Available from: 10.17352/2455-3492.000016
Copyright License
© 2017 Jahed V, et al. This is an open-access article distributed under the terms of the Creative Commons Attribution License, which permits unrestricted use, distribution, and reproduction in any medium, provided the original author and source are credited.Curcumin, a useful herbal medicine with anti-inflammatory and anti-cancer properties is insoluble in water which restricts its therapeutic properties; its prominent application in cancer treatment is limited due to curcumin sub-optimal pharmacokinetics and poor bioavailability at the tumor site. Cyclodextrins have the ability to increase the solubility of many hydrophobic drugs. Several complexes have been proposed to improve the solubility of curcumin. In this study, we have demonstrated the inclusion complexation of equimolar β-cyclodextrin and curcumin (βCD-CUR) which is confirmed through several analytical methods such as FTIR and DSC analysis. Finally, cell viability test as well as cell morphology assessment were conducted using MTT assay on MCF7, human breast cancer cell line and L929, fibroblastic normal cells. The results showed that the inclusion complex formulation had no significant cytotoxic effect on normal cells, while there was a significant morphological changes and shrinkage in cancer cells treated by βCD-CUR.
Currently, the most common way to treat cancer is chemotherapy. While toxic and expensive, the possibility of treatment with chemotherapy agents is very low [1,2]. Among cancers, breast cancer is the second leading cause of death for women in the world Fateme et al. 2011, and [3]. The use of herbal medicine is one of the easiest and the most inexpensive ways to prevent and treat cancer [2]. Curcumin (CUR), the active ingredient of turmeric spice and famous Hindi; solid gold. Also, it has a broad use as a food habit in Japan and South Asia [4] is one of the herbal medicines that is recently been highlighted in cancer treatment [5,6,7]. It has been proven that curcumin, as the main component of turmeric, has anti-carcinogenic and anti-proliferative features [8,9,10]. Moreover, it has been reported that telomerase activity in MCF-7 cells was increased by curcumin treatment [11]. Despite many medicinal features of curcumin, its low solubility and instability in aqueous media are major drawbacks which prevent its widespread applications [12]. To improve this limitations, variety of formulations have been proposed [13].
Cyclodextrins are donut-shaped sugar molecules [14,15,16,17] with hydrophobic cavity and hydrophilic shell, which enables them to increase the aqueous solubility of hydrophobic guests [2]. Thus, cyclodextrins have gained more attention as drug carriers in pharmaceutical industries [18]. According to the internal cavity size [19], β-cyclodextrins (βCD) are the most suitable cyclodextrins to make inclusion complex with hydrophobic molecules such as curcumin. In previous research, we have shown an increased curcumin solubility when making inclusion complex with βCD [20]. Zhang et al have demonstrate that βCD-CUR inclusion complex and sustained release of curcumin could amend therapeutic efficacy in lung cancer comparing with free curcumin [4]. In this research, molecular inclusion complex of βCD-CUR has been verified by FTIR and DSC. Then, Its cellular effect on MCF-7 and L929 cell lines as cancer and normal cells has been investigated.
β- cyclodextrin (βCD, 98%, Sigma Aldrich) and curcumin (CUR, >99%, Sigma Aldrich) were used as received. All solvents (acetone, DMSO-d6 and ethanol) were of high purity and were obtained from Merck Company (Germany).
βCD- CUR inclusion complex was prepared by freeze dry method [19]. Briefly, 40 mg βCD and 12 mg CUR were dissolved in 8 mL deionized water and 0.5 mL acetone in two different glass vials (Fisher Scientific, Pittsburgh, PA, USA), respectively. These solutions were then mixed and put on the stirrer for 24 h without a cap to evaporate the acetone. Then, the solution was centrifuged (1000 rpm, 5 min) and the supernatant containing βCD–CUR inclusion complex was freeze dried (VaCo5, Zirbus)
FTIR: FTIR spectra of βCD, CUR and βCD-CUR inclusion complexes were recorded using a Smiths Detection FT Infrared Spectroscope, JASCO (Japan). FTIR spectra of samples were acquired by placing fluffy powder on the tip of the ATR. Data was acquired between 4000 cm−1 and 400 cm−1 at a scanning speed of 4 cm−1. The average of 10 scans was presented as FTIR spectra. The KBr disc method was used for solid samples.
DSC analysis: DSC analysis of Curcumin, βCD and βCD-CUR inclusion complex were performed by using Q200 Differential Scanning Calorimeter (TOLEDO, Germany) at Isfahan Science and Technology Town. Heating rate employed was 10 °C/min from 25 to 210 oC under a nitrogen gas constant flow.
MTT assay: MCF7 human breast cancer cell line and L929 fibroblastic normal cells in flasks and vials were taken from Pasteur Institute of Iran. These cell lines were resistant to the drug Cisplatin treatment. In this study, the RPMI 1640 culture with 10% FBS and 1% penicillin (50 U/ mL) -streptomycin (50 μg/ mL) was used and incubated in CO2 5% (N-Biotech) at 37 ºC. The anti-cancer and anti-proliferation effect of βCD-CUR and CUR have been studied on normal cells and breast cancer cell lines (5,000 cells per 100 µl medium) in 96-well plates.
After 24 hr, the medium was replaced with fresh medium containing 10 to 50 µM concentrations of βCD-CUR solution. Equal concentrations of βCD were prepared as control.
After two days, the supernatant medium was discarded and 100 µl of MTT solution was added to each well. After 4 hours of incubation at 37 °C, 100 µl acidic isopropanol was added to each well to lyse cells. Using the ELISA reader, the absorption was read at 570 nm (Ref: 630 nm). All concentrations of curcumin have been used in the blank solution construction, so the yellow color of Curcumin was foiled in the reading MTT result.
All tests were repeated three times.
5ml culture medium containing 1×106 cancer cells was transferred to a T25 flask. After 24 hours, the βCD-CUR solution with a concentration of 50 µM was added to the medium. Then, any significant morphological changes has been studied under inverted microscope (Motic, AE2000) at a magnification of 20X.
One way ANOVA test and LSD test in SPSS software version 17.00 was used for statistical analysis of data and the T test has been used for independent samples.
Differential scanning calorimeter (DSC) is useful tool for recognition of host-guest inclusion complexes. It is concluded from DSC analysis that the inclusion complex is formed when exothermic or endothermic peak of the guest molecule is disappeared. The results of this analysis is shown is Figure 1. The curve of CUR shows an endothermic peak at 178 0C (melting temperature of CUR), whereas that of βCD has an endothermic peak at 124oC which is attributed to the removal of water molecules from the cavity. However, inclusion complex is formed when water molecules are replaced by less polar molecule like curcumin. Thus, the melting point of curcumin could be influenced after coverage by βCD.
FTIR spectroscopy was used to ascertain the formation of the βCD-CUR inclusion complex (Figure 2). By comparing the spectra of inclusion complex and CUR it was revealed that the benzene ring peak at 1627.6 cm-1, bonds of C=C and C=O at 1509.99 cm-1, aromatic C-O at 1275.68 cm-1 and C-O-C at 1027.87 cm-1 have been shifted to 1630.52 cm-1, 1513.84 cm-1, 1285.32 cm-1 and 1031.72 cm-1, respectively. Moreover, the stretching peaks of OH at 3383.49 cm-1 and H-O-H bond of βCD have been shifted to 3397.95 cm-1 and 1628.6 cm-1, respectively. This shift could confirm the significant change in CUR environment after making inclusion complex.
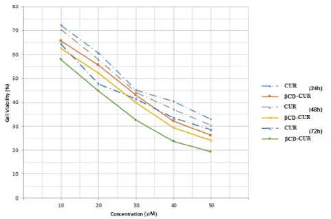
The results of cytotoxicity effect of five different concentrations of CUR and βCD-CUR inclusion complex on MCF7 cell line showed that in all concentrations, βCD-CUR inclusion complex is more effective than CUR (Figure 3).
The 48-hour IC50 of CUR and βCD-CUR were calculated to be 26 and 22 µmol, respectively (Figure 4). The effect of different treatment concentrations were analyzed by ANOVA and LSD test which showed significance for MCF7 and no significance for L929. These results confirm the outstanding behavior of CUR by which it is effective and cytotoxic for cancer cells but safe for normal cells.
According to the results of this test, amount of Sig. (2-tailed) was 0.035 that is lower than 0.05m which shows a significant different between two treatments (Figure 3). Moreover, it shows that the incubation time had a significant effect on the anti-proliferative effect of CUR-βCD.
The results of human breast cancer cell treatment at a concentration of 50 µMol, show shrinkage and deformation of the cell membrane after 48 hours, as well as separation of cells from their bed (Figure 5).
Recently, the potential effect of CUR on cancer cells is recognized by the scientific community in the world, and molecular approaches could help to clarify the mechanism of this effect. In some studies, the efficacy of CUR on breast cancer has been cleared such as:
1. The effect on the oncogene proteins of proliferation and apoptosis [21].
2. The effect on nuclear factor-κB (Sen et al.).
3. Suppression of the elaboration of vascular endothelial growth factor (VEGF) in tumor cells [22,23].
Also, Kazemi et al., in their study have shown that the combination of CUR and βCD inhibits the telomerase gene expression in breast cancer cell line T47-D [24]. However, the exact molecular mechanisms of anti-tumor activity of CUR has not been identified clearly yet. In this paper, it was proved that the inclusion complex of CUR and βCD is more effective than pure CUR on viability of cancer cells. It seems that the significant viability differences could be attributed to two factors, solubility and greater cellular uptake. Also, the results showed that increasing the treatment time, have a great effect on anti-proliferative activity of CUR- βCD. These findings also indicate that the cellular uptake of CUR-βCD is greater than pure CUR. This uptake does not decrease over time during treatment. Finally, it was proved that the anti-proliferative activity of the inclusion complex formulation is more than pure CUR. These results are consistent with reports on prostate cancer by Yallapua et al., Yallapua et al. On the other hand, all of the data suggests that CUR and inclusion complex had no significant cytotoxic effect on L929 normal cells, while there was a significant morphological changes and shrinking in cancer cells treated by βCD-CUR within 48 hours.
Subscribe to our articles alerts and stay tuned.
This work is licensed under a Creative Commons Attribution 4.0 International License.

If you are already a member of our network and need to keep track of any developments regarding a question you have already submitted, click "take me to my Query."